第 6 章 图
6.1 图的基本概念
6.1.1 图的定义
图
注意
线性表可以是空表,树可以是空树,但图不可以是空图。就是说,图中不能一个顶点也没有,图的顶点集
下面是图的一些基本概念及术语。
1. 有向图
若
图 6.1(a) 所示的有向图
2. 无向图
若
图 6.1(b) 所示的无向图
3. 简单图、多重图
一个图
4. 顶点的度、入度和出度
在无向图中,顶点
在有向图中,顶点
5. 路径、路径长度和回路
顶点
6. 简单路径、简单回路
在路径序列中,顶点不重复出现的路径称为简单路径。除第一个顶点和最后一个顶点外,其余顶点不重复出现的回路称为简单回路。
7. 距离
从顶点
8. 子图
设有两个图
注意
并非
9. 连通、连通图和连通分量
在无向图中,若从顶点

10. 强连通图、强连通分量
在有向图中,如果有一对顶点
注意
在无向图中讨论连通性,在有向图中讨论强连通性。
11. 生成树、生成森林
连通图的生成树是包含图中全部顶点的一个极小连通子图。若图中顶点数为 n,则它的生成树含有 n-1 条边。包含图中全部顶点的极小连通子图,只有生成树满足这个极小条件,对生成树而言,若砍去它的一条边,则会变成非连通图,若加上一条边则会形成一个回路。在非连通图中,连通分量的生成树构成了非连通图的生成森林。图
注意
区分极大连通子图和极小连通子图。极大连通子图是无向图的连通分量,极大即要求该连通子图包含其所有的边;极小连通子图是既要保持图连通又要使得边数最少的子图。
12. 边的权、网和带权路径长度
在一个图中,每条边都可以标上具有某种含义的数值,该数值称为该边的权值。这种边上带有权值的图称为带权图,也称网。路径上所有边的权值之和,称为该路径的带权路径长度。
13. 完全图(也称简单完全图)
对于无向图,
14. 稠密图、稀疏图
边数很少的图称为稀疏图,反之称为稠密图。稀疏和稠密本身是模糊的概念,稀疏图和稠密图常常是相对而言的。一般当图
15. 有向树
一个顶点的入度为 0、其余顶点的入度均为 1 的有向图,称为有向树。
极大连通子图和极小连通子图
首先明确一个核心:这两个概念都是在讨论“连通性”这个属性下的“极大”和“极小”。
极大连通子图
- 核心思想:“极大”指的是在“保持连通性”的前提下,无法再添加任何新的元素(顶点和与之关联的边)。
- 定义:
- 它是一个连通子图。
- 如果尝试将原图中任何不在该子图中的顶点(以及连接该顶点所必需的边)添加进去,都会导致这个子图不再连通 或者 不再是原图的子图(因为添加了不存在的边)。
- 更直观的理解: 极大连通子图就是原图的连通分量。
- 你可以从一个顶点出发,把所有通过路径能到达的顶点和边都“吞并”进来。
- 当你不能再“吞并”任何新的顶点时,得到的就是一个极大连通子图。
- 原图 G 的每一个连通分量,都是一个极大连通子图。
- 特点:
- 唯一性: 对于原图的每一个顶点,它属于且仅属于一个极大连通子图(即一个连通分量)。
- 极大性体现在顶点集: 你无法再增加任何一个顶点而不破坏连通性或子图的性质。
例子: 想象一个由三个独立岛屿(每个岛屿内部有路连通)组成的地图。每个岛屿本身就是一个“极大连通子图”。你不能从另一个岛屿上拿一个城镇加到这个岛屿的地图上,因为它们之间根本没有路(边)。
极小连通子图
- 核心思想:“极小”指的是在“保持连通性”的前提下,无法再删除任何元素(边)而不破坏连通性。
- 定义:
- 它是一个连通子图(通常还要求它包含原图的所有顶点,这是最常见且关键的上下文。如果不包含所有顶点,讨论会复杂化)。
- 如果删除其中的任何一条边,都会导致这个子图变得不再连通。
- 更直观的理解: 包含原图所有顶点的极小连通子图,就是该连通分量的生成树。
- 生成树保留了连接所有顶点的最基本框架,没有任何冗余的边。
- 每一条边都是连接两个部分的“桥梁”,去掉它,图就会分裂。
- 特点:
- 不唯一: 一个连通图可以有多个不同的极小连通子图(即多棵不同的生成树)。
- 极小性体现在边集: 你无法再减少任何一条边而仍然保持所有顶点连通。
- 边数固定: 对于包含 n 个顶点的连通图,其极小连通子图(生成树)恰好有 n-1 条边。
例子: 考虑一个三角形的图(3 个顶点,3 条边)。它是一个连通图。
- 它的极大连通子图就是它本身(因为不能再加顶点了)。
- 它的极小连通子图(要求包含所有 3 个顶点)可以是:去掉任意一条边后剩下的两条边组成的“链”。这三条“链”都是它的极小连通子图(生成树)。你会发现,这三条“链”中,任意再去掉一条边,顶点就会断开。
对比
| 特性 | 极大连通子图 | 极小连通子图 (常见定义:含全部顶点) |
|---|---|---|
| 核心含义 | 无法再增加顶点(及关联边)的连通子图 | 无法再减少边而保持连通的连通子图 |
| 等价概念 | 连通分量 | 生成树 |
| 唯一性 | 唯一(原图每个连通分量唯一确定) | 不唯一(一个图可有多个生成树) |
| 关注点 | 顶点集的极大化 | 边集的极小化 |
| 与原图顶点关系 | 只包含某个连通分量的顶点 | 必须包含该连通分量的所有顶点 |
| 边数 | 不固定,包含该分量所有内部边 | 固定:顶点数 - 1 |
| 作用 | 分析图的基本结构,分解图 | 找到最经济的连接方案,网络设计基础 |
重要关系
对于一个连通的无向图 G(即 G 本身就是一个极大连通子图):
- G 的极大连通子图就是G 本身。
- G 的极小连通子图(含全部顶点) 就是G 的生成树。
- 因此,生成树是原图的极小连通子图,同时也是原图的一个生成子图(包含所有顶点)。
总结
- 极大连通子图问的是:“哪些顶点和边天然地抱成一个团?” —— 答案是连通分量。
- 极小连通子图问的是:“用最少的边把这个团里的所有顶点连起来,怎么连?” —— 答案是生成树。
极大连通子图是无向图(不一定连通)的连通分量,极小连通子图是连通无向图的生成树。极小和极大是在满足连通的前提下,针对边的数目而言的。极大连通子图包含连通分量的全部边;极小连通子图(生成树)包含连通图的全部顶点,且使其连通的边数最少。
简单记忆:“极大”是顶点不能再多(连通分量),“极小”是边不能再少(生成树)。
6.2 图的存储及基本操作
图的存储必须要完整、准确地反映顶点集合边集的信息。根据不同图的结构和算法,采用不同的存储方式将对程序的效率产生相当大的影响,因此所选的存储结构应适合于待求解的问题。
6.2.1 邻接矩阵法
所谓邻接矩阵存储,是指用一个一维数组存储图中顶点的信息,用一个二维数组存储图中边的信息(即各顶点之间的邻接关系),存储顶点之间邻接关系的二维数组称为邻接矩阵。
顶点数为 n 的图
对于带权图而言,若顶点
有向图、无向图和网对应的邻接矩阵示例图如图 6.5 所示。

图的邻接矩阵存储结构定义如下:
#define MaxVertexNum 100 // 顶点数目的最大值
typedef char VertexType; // 顶点数据类型
typedef int EdgeType; // 带权图中边上权值的数据类型
typedef struct{
VertexType Vex[MaxVertexNum]; // 顶点表
EdgeType Edge[MaxVertexNum][MaxVertexNum]; // 邻接矩阵,边表
int vexnum, arcnum; // 图的当前顶点数和弧数
}MGraph;注意
① 在简单应用中可直接用二维数组作为图的邻接矩阵(顶点信息等均可省略)。
② 当邻接矩阵的元素仅表示相应边是否存在时,EdgeType 可采用值为 0 和 1 的枚举类型。
③ 无向图的邻接矩阵是对称矩阵,对规模特大的邻接矩阵可采用压缩存储。
④ 邻接矩阵表示法的空间复杂度为
图的邻接矩阵存储表示法具有以下特点:
① 无向图的邻接矩阵一定是一个对称矩阵(并且唯一)。因此,在实际存储邻接矩阵时只需存储上(或下)三角矩阵的元素。
② 对于无向图,邻接矩阵的第 i 行(或第 i 列)非零元素(或非
③ 对于有向图,邻接矩阵的第 i 行非零元素(或非
④ 用邻接矩阵存储图,很容易确定图中任意两个顶点之间是否有边相连。但是,要确定图中有多少条边,则必须按行、按列对每个元素进行检测,所花费的时间代价很大。
⑤ 稠密图适合使用邻接矩阵的存储表示。
⑥ 设图
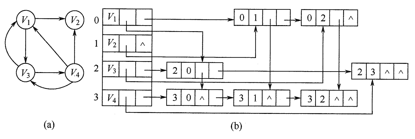
6.2.2 邻接表法
当一个图为稀疏图时,使用邻接矩阵法显然要浪费大量的存储空间,而图的邻接表法结合了顺序存储和链式存储方法,大大减少了这种不必要的浪费。
所谓邻接表,是指对图
顶点表结点由顶点域(data) 和指向第一条邻接边的指针(firstarc)构成,边表(邻接表)结点由邻接点域(adjvex)和指向下一条邻接边的指针域(nextarc)构成。
无向图和有向图的邻接表的实例分别如图 6.7 和图 6.8 所示。


图的邻接表存储结构定义如下:
#define MaxVertexNum 100 // 图中顶点数目的最大值
typedef struct ArcNode{ // 边表结点
int adjvex; // 该弧指向的顶点的位置
struct ArcNode *next; // 指向下一条弧的指针
//InfoType info; // 网的边权值
}ArcNode;
typedef struct VNode{ // 顶点表结点
VertexType data; // 顶点信息
ArcNode *first; // 指向第一条依附该顶点的弧的指针
}VNode,AdjList[MaxVertexNum];
typedef struct{
AdjList vertices; // 邻接表
int vexnum,arcnum; // 图的顶点数和弧数
}ALGraph; // ALGraph 是以邻接表存储的图类型图的邻接表存储方法具有以下特点:
① 若
② 对于稀疏图,采用邻接表表示将极大地节省存储空间。
③ 在邻接表中,给定一顶点,能很容易地找出它的所有邻边,因为只需要读取它的邻接表。在邻接矩阵中,相同的操作则需要扫描一行,花费的时间为
④ 在无向图的邻接表表示中,求某个顶点的度只需计算其邻接表中的边表结点个数。在有向图的邻接表表示中,求一个给定顶点的出度只需计算其邻接表中的结点个数;但求其顶点的入度则需要遍历全部的邻接表。因此,也有人采用逆邻接表的存储方式来加速求解给定顶点的入度。当然,这实际上与邻接表存储方式是类似的。
⑤ 图的邻接表表示并不唯一,因为在每个顶点对应的单链表中,各边结点的链接次序可以是任意的,它取决于建立邻接表的算法及边的输入次序。
6.2.3 十字链表
十字链表是有向图的一种链式存储结构。在十字链表中,对应有向图中的每条弧有一个结点,对应于每个顶点也有一个结点。这些结点的结构如下图所示。
弧结点中有 5 个域:尾域(tailvex)和头域(headvex)分别指示弧尾和弧头这两个顶点在图中的位置;链域 hlink 指向弧头相同的下一条弧;链域 tlink 指向弧尾相同的下一条弧;info 域指向该弧的相关信息。这样,弧头相同的弧就在同一个链表上,弧尾相同的弧也在同一个链表上。
顶点结点中有 3 个域:data 域存放顶点相关的数据信息,如顶点名称;firstin 和 firstout 两个域分别指向以该顶点为弧头或弧尾的第一个弧结点。
图 6.9 为有向图的十字链表表示法。注意,顶点结点之间是顺序存储的。

在十字链表中,既容易找到
6.2.4 邻接多重表
邻接多重表是无向图的另一种链式存储结构。在邻接表中,容易求得顶点和边的各种信息,但在邻接表中求两个顶点之间是否存在边而对边执行删除等操作时,需要分别在两个顶点的边表中遍历,效率较低。与十字链表类似,在邻接多重表中,每条边用一个结点表示,其结构如下所示。
其中,ivex 和 jvex 域存放该边依附的两个顶点的编号;ilink 域指向依附于顶点 ivex 的下一条边;jlink 域指向依附于顶点 jvex 的下一跳边,info 为指向和边相关的各种信息的指针域。
每个顶点也用一个结点表示,它由如下所示的两个域组成。
其中,data 域存储该顶点的相关信息,firstedge 域指示第一条依附于该顶点的边。
在邻接多重表中,所有依附于同一顶点的边串联在同一链表中,由于每条边依附于两个顶点,因此每个边结点同时链接在两个链表中。对无向图而言,其邻接多重表和邻接表的差别仅在于同一条边在邻接表中用两个结点表示,而在邻接多重表中只有一个结点。
图 6.10 为无向图的邻接多重表表示法。邻接多重表的各种基本操作的实现和邻接表类似。

图的四种存储方式的总结如表 6.1 所示。
| 邻接矩阵 | 邻接表 | 十字链表 | 邻接多重表 | |
|---|---|---|---|---|
| 空间复杂度 | 无向图: 有向图: | |||
| 找相邻边 | 遍历对应行或列的时间复杂度为 | 找有向图的入度必须遍历整个邻接表 | 很方便 | 很方便 |
| 删除边或顶点 | 删除边很方便,删除顶点需要大量移动数据 | 无向图中删除边或顶点都不方便 | 很方便 | 很方便 |
| 适用于 | 稠密图 | 稀疏图和其他 | 只能存有向图 | 只能存无向图 |
| 表示方式 | 唯一 | 不唯一 | 不唯一 | 不唯一 |
6.2.5 图的基本操作
图的基本操作是独立于图的存储结构的。而对于不同的存储方式,操作算法的具体实现会有着不同的性能。在设计具体算法的实现时,应考虑采用何种存储方式的算法效率会更高。
图的基本操作主要包括(仅抽象地考虑,故忽略掉各变量的类型):
- Adjacent(G, x, y):判断图
是否存在边 或 。 - Neighbors(G, x):列出图
与结点 邻接的边。 - InsertVertex(G, x):在图
中插入顶点 。 - DeleteVertex(G, x):从图
中删除顶点 。 - AddEdge(G, x, y):若无向边
或有向边 不存在,则向图 中添加该边。 - RemoveEdge(G, x, y):若无向边
或有向边 存在,则从图 中删除该边。 - FirstNeighbor(G, x):求图
中顶点 的第一个邻接点,若有则返回顶点号。若 没有邻接点或图中不存在 ,则返回 -1。 - NextNeighbor(G, x, y):假设图
中顶点 是顶点 的一个邻接点,返回除 外顶点 的下一个邻接点的顶点号,若 是 的最后一个邻接点则返回 -1。 - Get_edge_value(G, x, y):获取图
中边 或 对应的权值。 - Set_edge_value(G, x, y, v):设置图
中边 或 对应的权值为 。
此外,还有图的遍历算法:按照某种方式访问图中的每个顶点且仅访问一次。图的遍历算法包括深度优先遍历和广度优先遍历,具体见下一节的内容。
6.3 图的遍历
图的遍历是指从图中的某一顶点出发,按照某种搜索方法沿着图中的边对图中的所有顶点访问一次且仅访问一次。注意到树是一种特殊的图,所以树的遍历实际上也可视为一种特殊的图的遍历。图的遍历算法是求解图的连通性问题、拓扑排序和求关键路径等算法的基础。
图的遍历比树的遍历要复杂得多,因为图的任一顶点都可能和其余的顶点相邻接,所以在访问某个顶点后可能沿着某条路径搜索又回到该顶点上。为避免同一顶点被访问多次,在遍历图的过程中,必须记下每个已访问过的顶点,为此可以设一个辅助数组 visited[] 来标记顶点是否被访问过。图的遍历算法主要有两种:广度优先搜索和深度优先搜索。
6.3.1 广度优先搜索
广度优先搜索(Breadth-First-Search,BFS)类似于树的层序遍历算法。基本思想是:首先访问起始顶点
换句话说,广度优先搜索遍历图的过程是以
广度优先搜索算法的伪代码如下:
bool visited[MAX_VERTEX_NUM]; // 访问标记数组
void BFSTraverse(Graph G){ // 对图 G 进行广度优先遍历
for(i = 0; i<G.vexnum; ++i)
visited[i] = FALSE; // 访问标记数组初始化
InitQueue(Q); // 初始化辅助队列 Q
for(i = 0; i < G.vexnum; ++i) // 从 0 号顶点开始遍历
if(!visited[i]) // 对每个连通分量调用一次 BFS
BFS(G, i); // vi 未访问过,从 vi 开始 BFS
}
// 用邻接表实现广度优先搜索的算法
void BFS(Graph G, int i){
visit(i); // 访问初始顶点 i
visited[i] = TRUE; // 对 i 做已访问标记
Enqueue(Q, v); // 顶点 i 入队
while(!isEmpty(Q)){
DeQueue(Q, v); // 顶点 v 出队列
for(p = G.vertices[v].firstarc;p;p = p->nextarc)
// 检测 v 所有邻接点
v = p->adjvex;
if(!visited[w]){ // w 为 v 的尚未访问的邻接顶点
visit(w); // 访问顶点 w
visited[w] = TRUE; // 对 w 做已访问标记
EnQueue(Q, w); // 顶点 w 入队列
}//if
}//while
}
// 用邻接矩阵实现广度优先搜索的算法
void BFS(Graph G, int i){
visit(i); // 访问初始顶点 i
visited[i] = TRUE; // 对 i 做已访问标记
Enqueue(Q, v); // 顶点 i 入队
while(!isEmpty(Q)){
DeQueue(Q, v); // 顶点 v 出队列
for(w = 0; w < G.vexnum; ++w)
// 检测 v 所有邻接点
if(!visited[w] && G.edge[v][w] == 1){
visit(w); // w 为 v 的尚未访问的邻接顶点,访问顶点 w
visited[w] = TRUE; // 对 w 做已访问标记
EnQueue(Q, w); // 顶点 w 入队列
}//if
}//while
}辅助数组 visited[] 标志顶点是否被访问过,其初始状态为 FALSE。在图的遍历过程中,一旦某个顶点
下面通过实例演示广度优先搜索的过程,给定图

从上例不难看出图的广度优先搜索的过程与二叉树的层序遍历是完全一致的,这也说明了图的广度优先搜索遍历算法是二叉树的层次遍历算法的扩展。
图的广度优先遍历还可用于求一些问题的最优解,但初试方面很难涉及。
1. BFS 算法的性能分析
无论是邻接表还是邻接矩阵的存储方式,BFS 算法都需要借助一个辅助队列 Q,n 个顶点均需入队一次,在最坏的情况下,空间复杂度为
遍历图的过程实质上是对每个顶点查找其邻接点的过程,耗费的时间取决于所采用的存储结构。采用邻接表存储方式时,每个顶点均需搜索一次(或入队一次),故时间复杂度为
2. BFS 算法求解单源最短路径问题
若图
使用 BFS,我们可以求解一个满足上述定义的非带权图的单源最短路径问题,这是由广度优先搜索总是按照距离由近到远来遍历图中每个顶点的性质决定的。
BFS 算法求解单源最短路径问题的算法如下:
void BFS_MIN_Distance(Graph G, int u){
//d[i]表示从u到i结点的最短路径
for(i = 0; i < G.vexnum; ++i)
d[i] = ∞; // 初始化路径长度
visited[u] = TRUE;
d[u] = 0;
EnQueue(Q, u);
while(!isEmpty(Q)){ // BFS 算法主过程
DeQueue(Q, u); // 队头元素 u 出队
for(w = FirstNeighbor(G,u); w >= 0;w = NextNeighbor(G,u,w))
if(!visited[w]){ // w 为 u 的尚未访问的邻接顶点
visited[w] = TRUE; // 设已访问标记
d[w] = d[u] + 1; // 路径长度加 1
EnQueue(Q,w); // 顶点 w 入队
}//if
}//while
}3. 广度优先生成树
在广度遍历的过程中,我们可以得到一棵遍历树,称为广度优先生成树,如图 6.12 所示。需要注意的是,一给定图的邻接矩阵存储表示是唯一的,故其广度优先生成树也是唯一的,但由于邻接表存储表示不唯一,故其广度优先生成树也是不唯一的。

6.3.2 深度优先搜索
与广度优先搜索不同,深度优先搜索(Depth-First-Search,DFS)类似于树的先序遍历。如其名称中所暗含的意思一样,这种搜索算法所遵循的搜索策略是尽可能“深”地搜索一个图。
它的基本思想如下:首先访问图中某一起始顶点
一般情况下,其递归形式的算法十分简洁,算法过程如下:
bool visited[MAX_VERTEX_NUM]; // 访问标记数组
void DFSTraverse(Graph G){ // 对图 G 进行深度优先遍历
for(v = 0; v < G.vexnum; ++v)
visited[v] = FALSE; // 初始化已访问标记数据
for(v=0; v<G.vexnum; ++v) // 本代码是从v0开始遍历
if(!visited[v]) // 对尚未访问的顶点调用 DFS()
DFS(G,v)
}
// 用邻接表实现深度优先搜索的算法
void DFS(Graph G, int i){
visit(i); // 访问初始顶点 i
visited[i] = TRUE; // 对 i 做已访问标记
for(p = G.vertices[i].firstarc; p; p = p->nextarc){
// 检测 i 的所有邻接点
j = p->adjvex;
if(!visited[j]){ // j 为 i 的尚未访问的邻接点,递归访问 j
DFS(G,j)
}//if
}
}
// 用邻接矩阵实现深度优先搜索的算法
void DFS(Graph G, int i){
visit(i); // 访问初始顶点 i
visited[i] = TRUE; // 对 i 做已访问标记
for(j = 0; j < G.vexnum; ++j){ // 检测 i 的所有邻接点
if(!visited[j] && G.edge[i][j] == 1){
DFS(G,j) // j 为 i 的尚未访问的邻接点,递归访问 j
}//if
}
}以图 6.11 的无向图为例,深度优先搜索过程:首先访问
注意
图的邻接矩阵表示是唯一的,但对于邻接表来说,若边的输入次序不同,生成的邻接表也不同。因此,对于同样一个图基于邻接矩阵的遍历所得到的 DFS 序列和 BFS 序列是唯一的,基于邻接表的遍历所得到的 DFS 序列和 BFS 序列是不唯一的。
1. DFS 算法的性能分析
DFS 算法是一个递归算法,需要借助一个递归工作栈,故其空间复杂度为
遍历图的过程实质上是通过边查找邻接点的过程,因此两种遍历方式的时间复杂度都相同,不同之处仅在于对顶点访问顺序的不同。以邻接矩阵表示时,查找每个顶点的邻接点所需的时间为
2. 深度优先的生成树和生成森林
与广度优先搜索一样深度优先搜索也会产生一棵深度优先生成树。当然,这是有条件的,即对连通图调用 DFS 才能产生深度优先生成树,否则产生的将是深度优先生成森林,如图 6.13 所示。与 BFS 类似,基于邻接表存储的深度优先生成树是不唯一的。

6.3.3 图的遍历与图的连通性
图的遍历算法可以用来判断图的连通性。对于无向图来说,若无向图是连通的,则从任一结点出发仅需一次遍历就能够访问图中的所有顶点;若无向图是非连通的,则从某一个顶点出发,一次遍历只能访问到该顶点所在连通分量的所有顶点,而对于图中其他连通分量的顶点,则无法通过这次遍历访问。对于有向图来说,若从初始点到图中的每个顶点都有路径,则能够访问到图中的所有顶点,否则不能访问到所有顶点。
故在 BFSTraverse() 或 DFSTraverse() 中添加了第二个 for 循环,再选取初始点,继续进行遍历,以防止一次无法遍历图的所有顶点。对于无向图,上述两个函数调用 BFS(G, i) 或 DFS(G, i) 的次数等于该图的连通分量数;而对于有向图则不是这样,因为一个连通的有向图分为强连通的和非强连通的,它的连通子图也分为强连通分量和非强连通分量,非强连通分量一次调用 BFS(G, i) 或 DFS(G, i) 无法访问到该连通分量的所有顶点,如图 6.14 所示。
6.4 图的应用
本节是历年考查的重点。图应用主要包括:最小生成(代价)树、最短路径、拓扑排序和关键路径。一般而言这部分内容直接以算法设计题形式考查的可能性很小,而更多的是结合图的实例来考查算法的具体操作过程读者必须学会手工模拟给定图的各个算法的执行过程。此外,还需掌握对给定模型建立相应的图去解决问题的方法。
6.4.1 最小生成树
一个连通图的生成树包含图的所有顶点,并且只含尽可能少的边。对于生成树来说,若砍去它的一条边,则会使生成树变成非连通图;若给它增加一条边,则会形成图中的一条回路。
对于一个带权连通无向图
不难看出,最小生成树具有如下性质:
1)最小生成树不是唯一的,即最小生成树的树形不唯一,
2)最小生成树的边的权值之和总是唯一的,虽然最小生成树不唯一,但其对应的边的权值之和总是唯一的,而且是最小的。
3)最小生成树的边数为顶点数减 1。
构造最小生成树有多种算法,但大多数算法都利用了最小生成树的下列性质:假设
基于该性质的最小生成树算法主要有 Prim 算法和 Kruskal 算法,它们都基于贪心算法的策略。对这两种算法应主要掌握算法的本质含义和基本思想,并能够手工模拟算法的实现步骤。
下面介绍一个通用的最小生成树算法:
GENERIC_MST(G){
T = NULL;
while T 未形成一棵生成树;
do 找到一条最小代价边(u,v)并且加入T后不会产生回路;
T = T ∪ (u,v);
}通用算法每次加入一条边以逐渐形成一棵生成树,下面介绍两种实现上述通用算法的途径。
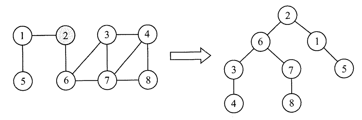
1. Prim 算法
Prime(普里姆)算法的执行非常类似于寻找图的最短路径的 Dijkstra 算法(见下一节)。
Prim 算法构造最小生成树的过程如图 6.15 所示。初始时从图中任取一顶点(如顶点 1)加入树

Prim 算法的步骤如下:
假设
初始化:向空树
循环(重复下列操作直至
Prim 算法的简单实现如下:
void Prim(G, T){
T = ∅; // 初始化空树
U = {w}; // 添加任一顶点 w
while((V-U) != ∅){ // 若树中不含全部顶点
设(u,v)是使u∈U与v∈(V-U),且权值最小的边;
T = T ∪ {(u,v)}; // 边归入树
U = U ∪ {v}; // 顶点归入树
}
}Prim 算法的时间复杂度为
2. Kruskal 算法
与 Prim 算法从顶点开始扩展最小生成树不同,Kruskal(克鲁斯卡尔)算法是一种按权值的递增次序选择合适的边来构造最小生成树的方法。
Kruskal 算法构造最小生成树的过程如图 6.16 所示。初始时为只有 n 个顶点而无边的非连通图

Kruskal 算法的步骤如下:
假设
初始化:
循环(重复下列操作直至
Kruskal 算法的简单实现如下:
void Kruskal(V, T){
T = V; // 初始化树 T,仅含顶点
numS = n; // 连通分量数
while(numS > 1){ // 若连通分量数大于 1
从E中取出权值最小的边(v,u);
if(v和u属于T中不同的连通分量){
T = T ∪ {(v,u)}; // 将此边加入生成树中
numS--; // 连通分量数减 1
}
}
}根据图的相关性质,若一条边连接了两棵不同树中的顶点,则对这两棵树来说,它必定是连通的,将这条边加入森林中,完成两棵树的合并,直到整个森林合并成一棵树。
在 Kruskal 算法中,最坏情况需要对
6.4.2 最短路径
6.3 节所述的广度优先搜索查找最短路径只是对无权图而言的。当图是带权图时,把从一个顶点
求解最短路径的算法通常都依赖于一种性质,即两点之间的最短路径也包含了路径上其他顶点间的最短路径。带权有向图
1. Dijkstra 算法求单源最短路径问题
Dijkstra 算法设置一个集合 S 记录已求得的最短路径的顶点,初始时把源点
在构造的过程中还设置了三个辅助数组:
find[]:标记各顶点是否已找到最短路径,即是否归入集合 S。
dist[]:记录从源点
到其他各顶点当前的最短路径长度,它的初态为:若从 到 有弧,则 dist[i] 为弧上的权值;否则置 dist[i] 为 。path[]:path[i] 表示从源点到顶点
之间的最短路径的前驱结点。在算法结束时,可根据其值追溯得到源点 到顶点 的最短路径。
假设从顶点 0 出发,即
Dijkstra 算法的步骤如下(不考虑对 path[] 操作):
1)初始化:集合
2)从顶点集合
3)修改从
4)重复 2)~3)操作共 n-1 次,直到所有的顶点都包含在
步骤 3)也就是开头留下的疑问,每当一个顶点加入
思考:Dijkstra 算法与 Prim 算法有何相似之处?
Dijkstra 算法的流程、操作与 Prim 算法都很相似,都基于贪心策略。区别在于:
- 目的不同:Dijkstra 算法的目的是构建单源点的最短路径树;Prim 算法的目的是构建最小生成树
- 算法思路略有不同:Prim 算法从一个点开始,每次选择权值最小的边,将其连接到已构建的生成树上,直至所有顶点都已加入;二 Dijkstra 算法每次找出到源点距离最近且为归入集合的点,并把它们归入集合,同时以这个点为基础更新从源点到其他所有顶点的距离
- 适用的图不同:Prim 算法只能用于带权无向图;Dijkstra 算法可用于带权有向图或带权无向图
例如,对图 6.17 中的图应用 Dijkstra 算法求从顶点 1 出发至其余顶点的最短路径的过程,如表 6.2 所示。算法执行过程的说明如下。

| 顶点 | 第 1 轮 | 第 2 轮 | 第 3 轮 | 第 4 轮 |
|---|---|---|---|---|
| 2 | 10 | 8 | 8 | |
| 3 | 14 | 7 | 9 | |
| 4 | 7 | |||
| 5 | 5 | |||
| 集合 S |
初始化:集合
第一轮:选出最小值 dist[5],将顶点
第二轮:选出最小值 dist[4],将顶点
第三轮:选出最小值 dist[2],将顶点
第四轮:选出唯一最小值 dist[3],将顶点
显然,Dijkstra 算法也是基于贪心策略的。
使用邻接矩阵表示时,时间复杂度为
人们可能只希望找到从源点到某个特定顶点的最短路径,但这个问题和求解源点到其他所有顶点的最短路径一样复杂,时间复杂度也为
注意,边上带有负权值时,Dijkstra 算法并不适用。若允许边上带有负权值,则在与
2. Floyd 算法求各顶点之间最短路径问题
求所有顶点之间的最短路径问题描述如下:已知一个各边权值均大于 0 的带权有向图,对任意两个顶点
Floyd 算法的基本思想是:递推产生一个 n 阶方阵序列
定义一个 n 阶方阵序列
式中,
图 6.19 所示为带权有向图

| A | A(-1) | A(0) | A(1) | A(2) | ||||||||
| V0 | V1 | V2 | V0 | V1 | V2 | V0 | V1 | V2 | V0 | V1 | V2 | |
| V0 | 0 | 6 | 13 | 0 | 6 | 13 | 0 | 6 | 10 | 0 | 6 | 10 |
| V1 | 10 | 0 | 4 | 10 | 0 | 4 | 10 | 0 | 4 | 9 | 0 | 4 |
| V2 | 5 | ∞ | 0 | 5 | 11 | 0 | 5 | 11 | 0 | 5 | 11 | 0 |
初始化:方阵
第一轮:将
第二轮:将
第三轮:将
Floyd 算法的时间复杂度为
Floyd 算法允许图中有带负权值的边但不允许有包含带负权值的边组成的回路。Floyd 算法同样适用于带权无向图因为带权无向图可视为权值相同往返二重边的有向图。
也可以用单源最短路径算法来解决每对顶点之间的最短路径问题。轮流将每个顶点作为源点,并且在所有边权值均非负时,运行一次 Dijkstra 算法,其时间复杂度为
| BFS 算法 | Dijkstra 算法 | Floyd 算法 | |
|---|---|---|---|
| 用途 | 求单源最短路径 | 求单源最短路径 | 求各顶点之间的最短路径 |
| 无权图 | 适用 | 适用 | 适用 |
| 带权图 | 不适用 | 适用 | 适用 |
| 带负权值的图 | 不适用 | 不适用 | 适用 |
| 带负权回路的图 | 不适用 | 不适用 | 不适用 |
| 时间复杂度 |
6.4.3 有向无环图描述表达式
有向无环图:若一个有向图中不存在环,则称为有向无环图,简称 DAG 图。
有向无环图是描述含有公共子式的表达式的有效工具。例如表达式
可以用上一章描述的二叉树来表示如图 6.20 所示。仔细观察该表达式,可发现有一些相同的子表达式


注意
在表达式的有向无环图表示中,不可能出现重复的操作数顶点
6.4.4 拓扑排序
AOV 网:若用有向无环图表示一个工程,其顶点表示活动,用有向边
拓扑排序:在图论中,由一个有向无环图的顶点组成的序列,当且仅当满足下列条件时,称为该图的一个拓扑排序:
① 每个顶点出现且只出现一次。
② 若顶点
或定义为:拓扑排序是对有向无环图的顶点的一种排序,它使得若存在一条从顶点
对一个 AOV 网进行拓扑排序的算法有很多,下面介绍比较常用的一种方法的步骤:
① 从 AOV 网中选择一个没有前驱的顶点并输出。
② 从网中删除该顶点和所有以它为起点的有向边。
③ 重复 ① 和 ② 直到当前的 AOV 网为空或当前网中不存在无前驱的顶点为止。后一种情况说明有向图中必然存在环。
图 6.22 所示为拓扑排序过程的示例。每轮选择一个入度为 0 的顶点并输出,然后删除该顶点和所有以它为起点的有向边,最后得到拓扑排序的结果为

拓扑排序算法(基于邻接表存储)的实现如下:
bool ToplogicalSort(Graph G){
InitStack(S); // 初始化栈,存储入度为 0 的顶点
for(int i=0; i<G.vexnum; i++)
if(indegree[i] == 0)
Push(S, i); // 将所有入度为 0 的顶点进栈
int count = 0; // 计数,记录当前已经输出的顶点数
while(!IsEmpty(S)){ // 栈不空,则存在入度为 0 的顶点
Pop(S, i); // 栈顶元素出栈
print[count++] = i; // 输出顶点 i
for(p=G.vertices[i],firstarc; p; p=p->nextarc){
// 将所有 i 指向的顶点的入度减 1,并且将入度减为 0 的顶点压入栈 S
v = p->adjvex;
if(!(--indegree[v]))
Push(S, v); // 入度为 0,则入栈
}
}//while
if(count < G.vexnum)
return false; // 排序失败,有向图中有回路
else
return true; // 拓扑排序成功
}因为输出每个顶点的同时还要删除以它为起点的边,所以采用邻接表存储时拓扑排序时间复杂度为
此外,利用上一节的深度优先遍历也可实现拓扑排序,下面简单描述其思路。对于有向无环图 G 中的任意结点 u,v,它们之间的关系必然是下列三种之一:
1)若 u 是 v 的祖先,则在调用 DFS 访问 u 之前,必然已对 v 进行了 DFS 访问,即 v 的 DFS 结束时间先于 u 的 DFS 结束时间。从而考虑在 DFS 函数中设置一个时间标记,在 DFS 调用结束时,对各顶点计时。因此,祖先的结束时间必然大于子孙的结束时间。
2)若 u 是 v 的子孙,则 v 是 u 的祖先,按上述思路,v 的结束时间大于 u 的结束时间。
3)若 u 和 v 没有路径关系,则 u 和 v 在拓扑序列的关系任意。
于是,按结束时间从大到小,就可以得到一个拓扑排序序列。
对一个 AOV 网,如果采用下列步骤进行排序,则称之为逆拓扑排序:
① 从 AOV 网中选择一个没有后继(出度为 0)的顶点并输出。
② 从网中删除该顶点和所有以它为终点的有向边。
③ 重复 ① 和 ② 直到当前的 AOV 网为空。
用拓扑排序算法处理 AOV 网时,应注意以下问题:
① 入度为零的顶点,即没有前驱活动的或前驱活动都已经完成的顶点,工程可以从这个顶点所代表的活动开始或继续。
② 拓扑排序的结果可能不唯一。不少人误认为 AOV 网的各顶点为线性序列是拓扑序列唯一的充要条件,二它其实只是充分非必要条件。拓扑序列是否唯一的判断条件是在每次输出顶点时,检测入度为 0 的顶点是否唯一,若每次都唯一,则说明拓扑序列唯一。
③ 由于 AOV 网中各顶点的地位平等,每个顶点编号是人为的,因此可以按拓扑排序的结果重新编号,生成 AOV 网的新的邻接存储矩阵,这种邻接矩阵可以是三角矩阵;但对于一般的图来说,若其邻接矩阵是三角矩阵,则存在拓扑排序;反之则不一定成立。
6.4.5 关键路径
在带权有向图中,以顶点表示事件,以有向边表示活动,以边上的权值表示完成该活动的开销(如完成活动所需的时间),称之为用边表示活动的网络,简称 AOE 网。AOE 网和 AOV 网都是有向无环图,不同之处在于它们的边和顶点所代表的的含义是不同的,AOE 网中的边有权值;而 AOV 网中的边无权值,仅表示顶点之间的前后关系。
AOE 网具有以下两个性质:
① 只有在某顶点所代表的事件发生后,从该顶点出发的各有向边所代表的活动才能开始;
② 只有在进入某顶点的各有向边所代表的的活动都已结束时,该顶点所代表的事件才能发生。
在 AOE 网中仅有一个入度为 0 的顶点,称为开始顶点(源点),它表示整个工程的开始;网中也仅存在一个入度为 0 的顶点,称为结束顶点(汇点),它表示整个工程的结束。
在 AOE 网中,有些活动是可以并行进行的。从源点到汇点的有向路径可能有多条,并且这些路径长度可能不同。完成不同路径上的活动所需的时间虽然不同,但是只有所有路径上的活动都已完成,整个工程才能算结束。因此,从源点到汇点的所有路径中,具有最大路径长度的路径称为关键路径,而把关键路径上的活动称为关键活动。
完成整个工程的最短时间就是关键路径的长度,即关键路径上各活动花费开销的总和。这是因为关键活动影响了整个工程的时间即若关键活动不能按时完成则整个工程的完成时间就会延长。因此,只要找到了关键活动,就找到了关键路径,也就可以得出最短完成时间。
下面给出寻找关键活动时所用到的几个参量的定义
1. 时间
指从源点
注意
计算
① 初始时,令
② 输出一个入度为 0 的顶点
2. 事件
指在不推迟整个工程完成的前提下即保证它的后继事件
注意
在计算
① 初始时,令
② 栈顶顶点
3. 活动
指该活动弧的起点所表示的事件的最早发生时间。若边
4. 活动
指该活动弧的终点所表示事件的最迟发生时间与该活动所需时间之差。若边
5. 一个活动
指该活动完成的时间余量,即在不增加完成整个工程所需总时间的情况下,活动
求关键路径的算法步骤如下:
1)从源点出发,令
2)从汇点出发,令
3)根据各顶点的
4)根据各顶点的
5)求 AOE 网中所有活动的差额
图 6.23 所示为求解关键路径的过程,简单说明如下:

1)求
如果这是一道选择题,根据上述求
2)求
3)弧的最早开始时间
4)弧的最迟开始时间
5)根据
对于关键路径,需要注意以下几点:
1)关键路径上的所有活动都是关键活动,它是决定整个工程的关键因素,因此可通过加快关键活动来缩短整个工程的工期。但也不能任意缩短关键活动,因为一旦缩短到一定的程度,该关键活动就可能会变成非关键活动。
2)网中的关键路径并不唯一且对于有几条关键路径的网,只提高一条关键路径上的关键活动速度并不能缩短整个工程的工期,只有加快那些包括在所有关键路径上的关键活动才能达到缩短工期的目的。
各种图算法在采用邻接矩阵或邻接表存储时的时间复杂度如表 6.5 所示。
| Dijkstra | Floyd | Prim | Kruskal | DFS | BFS | 拓扑排序 | 关键路径 | |
|---|---|---|---|---|---|---|---|---|
| 邻接矩阵 | - | |||||||
| 邻接表 | - | - | - |